n

2025年江西省普通高等学校招生全国统一考试
化学

A. 用铁锅烹饪食材可以补铁,但不能代替药物
B. 本饮料含有一千多种微量元素,有益健康
C. 本化妆品不含任何化学物质,不伤皮肤
D. 含食品添加剂亚铁氰化钾的食盐,有剧毒
2. 下列说法正确的是
A. 键长:
B. 沸点:
C. 键能:
D. 键角:
3. 实验安全是科学探究的前提。下列实验要求错误的是
A.
溶液的导电性实验,禁止湿手操作
B. 焰色试验,应开启排风管道或排风扇
C. 钠在空气中燃烧实验,需佩戴护目镜才能近距离俯视坩埚
D. 比较
和
的热稳定性实验,应束好长发、系紧宽松衣物
4. 肽抑制剂X可抑制骨髓瘤,其作用机理是X与蛋白酶体片段的活性位点Y结合。下列说法正确的是

A. 反应为缩合反应B. X在反应中显碱性
C. 与
反应的活性:
D. Z属于盐
5. 乙烯是植物激素,可以催熟果实。植物体内乙烯的生物合成反应为:

阿伏加德罗常数的值为
,下列说法正确的是
A.
中
键的数目为
B.
中π电子的数目为
C.
中孤电子对的数目为
D. 消耗
,产物中
杂化C原子数目为
6. 药物中间体1,3-二溴丙酮可由1,3-二氯丙酮合成,步骤如下:

A. 若
完全转化,则水相中溶质只有
B. 测定水相中
的含量可计算产率
C. 试剂Ⅰ可选用无水
D. 操作Ⅰ和操作Ⅱ相同
7. 由下列实验事实得出的结论正确的是
| 实验事实 | 结论 |
A | 和空气的混合气体通过热的 持续红热
| 该反应 |
B | 向 溶液中滴入硝酸酸化的 溶液,生成白色沉淀 | 是离子化合物
|
C | 向 与水反应后的溶液中滴入酚酞溶液,先变红后褪色 | 有漂白性
|
D | 向 溶液中通入 ,无明显现象,再通入 生成白色沉淀 | 
|
A. AB. BC. CD. D
8. 一种以
为催化剂,捕捉
制备
的流程为:

下列说法正确的是
A. 氢气的作用是还原
B. 反应中有
生成
C. “产物分离”方法为过滤D. 温度升高,
的产率增大
9. 我国学者设计了一种新型去除工业污水重金属离子电池(如图)。下列说法错误的是

已知:
为铜基普鲁士蓝(
)
A.
中的铁为
价B. 交换膜为阴离子交换膜
C. 洗脱目的是去除电极吸附的
D.
溶液可电解再生电池负极
10. 一种聚四方酰胺高分子材料,其制备原理如图,下列说法错误的是

A. X中所有氧原子不共平面B. 反应为缩聚反应
C. Z的高分子链之间存在氢键D. M为乙醇
11. X、Y分别是由2种和3种前四周期元素组成的化合物,溶于水后混合,溶液转变成紫色,得到溶液Z,用
试纸检测显红色。取3支试管分别装入少量溶液Z,进行实验,记录为:
序号 | 加入试剂 | 现象 |
1 | 溶液
| 产生大量气泡、溶液紫色褪去 |
2 | 溶液
| 产生白色沉淀 |
3 | 溴水 | 产生白色沉淀 |
关于溶液Z,下列说法正确的是
A. 含
B. 含
C. 可能含
D. 不含
12. 一定压强下,乙烯水合反应为:
已知:

气体均视为理想气体,下列说法正确的是
A. 反应的活化能:
B. 恒温恒容充入
,平衡向左移动
C.
随温度升高而降低D. 平衡后,升高温度,
13.
是一种钠离子电池电解质的主要成分。X、Y、Z、W均为短周期元素,价层电子数总和为23,原子半径
,X、Z不同周期,Z、W同主族。下列说法正确的是
A. 电负性:
B.
是直线形分子
C.
与
中Z的杂化轨道类型不同D.
易燃
14.
晶格中的O被去除,产生一个氧空位(
),
相对原点的分数坐标为
,则图中
的分数坐标分别为

A.
B. 
C.
D. 
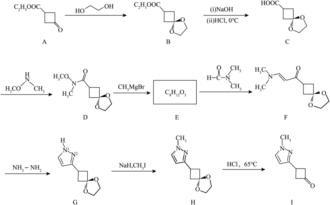
15. 一种抗癌药物中间体(I),其合成步骤如图(部分试剂和条件略去)。

已知,回答下列问题:
(1)化合物B_______(填“含”或“不含”)手性碳原子。
(2)B到C的有机反应类型是_______。
(3)写出由D生成E的化学反应方程式_______。
(4)已知化合物G含
键,则G中_______(填“1”或“2”)号氮原子碱性更强。
(5)化合物H中核磁共振氢谱峰有_______组峰。
(6)H到I反应的目的是_______。
(7)参照上述合成路线,画出A的同分异构体中可由乙二醇与环戊二酮合成的结构简式_______(写出三种,不考虑立体异构)。
16. 稀散金属镓(
A族)是重要的战略资源。以棕刚玉烟


通过网盘分享的文件:【免费下载】高考真题【江西】【化学】2025年高考真题——江西卷(带答案)word版含解析学生版教师版
链接: https://pan.baidu.com/s/1crWbHzVgqKTzkOvxi8toiQ?pwd=4321 提取码: 4321
--来自百度网盘超级会员v8的分享