

化学试卷
注意事项:
1.答卷前,考生务必将自己的姓名、准考证号填写在答题卡上,并将自己的姓名、准考证号、座位号填写在本试卷上。
2.回答选择题时,选出每小题答案后,用2B铅笔把答题卡上对应题目的答案标号涂黑;如需改动,用橡皮擦干净后,再选涂其他答案标号。涂写在本试卷上无效。
3.作答非选择题时,将答案书写在答题卡上,书写在本试卷上无效。
4.考试结束后:将本试卷和答题卡一并交回。
可能用到的相对原子质量:
一、选择题:本题共14小题,每小题3分,共42分。在每小题给出的四个选项中,只有一项是符合题目要求的。
1.“国之重器”是我国科技综合实力的结晶。下述材料属于金属材料的是
A.“C919”大飞机用的氮化硅涂层B.“梦想”号钻探船钻头用的合金
C.“望宇”登月服用的聚酰亚胺隔热层D.“雪龙2”号破冰船制淡水用的反渗透膜
2.下列化学用语或图示表达正确的是
A.
的电子式为
B.基态
原子的价电子排布式为
C.
的球棍模型为
D.反-2-丁烯的结构简式为
3.下列有关物质性质与用途对应关系错误的是
A.单晶硅熔点高,可用于制造芯片B.金属铝具有还原性,可用于冶炼金属
C.浓硫酸具有吸水性,可用作干燥剂D.乙炔燃烧火焰温度高,可用于切割金属
4.抗坏血酸葡萄糖苷(
)具有抗氧化功能。下列关于
的说法正确的是

A.不能使溴水褪色B.能与乙酸发生酯化反应
C.不能与
溶液反应D.含有3个手性碳原子
5.“机械键”是两个或多个分子在空间上穿插互锁的一种结合形式。我国科研人员合成了由两个全苯基大环分子组成的具有“机械键”的索烃,结构如图,下列说法错误的是

A.该索烃属于芳香烃B.该索烃的相对分子质量可用质谱仪测定
C.该索烃的两个大环之间不存在范德华力D.破坏该索烃中的“机械键”需要断裂共价键
6.下列对物质性质的解释错误的是
选项 | 物质性质 | 解释 |
A | 氯化钠熔点高于氯化铯 | 氯化钠离子键强于氯化铯 |
B | 碘易溶于四氯化碳 | 碘和四氯化碳都是非极性分子 |
C | 草酸氢钠溶液显酸性 | 草酸氢根离子水解程度大于电离程度 |
D | 离子液体导电性良好 | 离子液体中有可移动的阴、阳离子 |
A.AB.BC.CD.D
7.下列有关反应方程式错误的是
A.泡沫灭火器反应原理:
B.用金属钠除去甲苯中的微量水:
C.用
溶液吸收尾气中的
D.氯气通入冷的石灰乳中制漂白粉:
8.一种负热膨胀材料的立方晶胞结构如图,晶胞密度为
,阿伏加德罗常数的值为
,下列说法错误的是

A.沿晶胞体对角线方向的投影图为
B.
和B均为
杂化
C.晶体中与
最近且距离相等的
有6个
D.
和B的最短距离为
9.一种高聚物
被称为“无机橡胶”,可由如图所示的环状三聚体制备。X、Y和Z都是短周期元素,X、Y价电子数相等,X、Z电子层数相同,基态Y的
轨道半充满,Z的最外层只有1个未成对电子,下列说法正确的是

A.X、Z的第一电离能:
B.X、Y的简单氢化物的键角:
C.最高价含氧酸的酸性:
D.X、Y、Z均能形成多种氧化物
10.下列实验方案不能得出相应结论的是
A | B |

| 
|
结论:金属活动性顺序为 | 结论:氧化性顺序为 |
C | D |

| 
|
结论:甲基使苯环活化 | 结论:增大反应物浓度,该反应速率加快 |
A.AB.BC.CD.D
11.某元素的单质及其化合物的转化关系如图。常温常压下G、J均为无色气体,J具有漂白性。阿伏加德罗常数的值为
。下列说法错误的是

A.G、K均能与
溶液反应B.H、N既具有氧化性也具有还原性
C.M和N溶液中的离子种类相同D.
与足量的J反应,转移电子数为
12.格氏试剂性质活泼,可与空气中的
和
等反应。某兴趣小组搭建了图示无水无氧装置(部分装置略),以乙醚(沸点
)为溶剂,利用下述反应高产率地制备二苯甲酮。


下列说法错误的是
A.气球中填充保护气,并起缓冲压力的作用
B.烧瓶中液体是格氏试剂的乙醚溶液
C.图中的漏斗不能用球形分液漏斗代替
D.产率高表明苯甲酰氯比二苯甲酮更易与格氏试剂反应
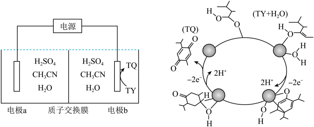
13.我国科研人员采用图示的电解池,由百里酚(TY)合成了百里醒(TQ)。电极b表面的主要反应历程见图(灰球表示电极表面催化剂),下列说法错误的是

A.电解时,
从右室向左室移动
B.电解总反应:
C.以
为原料,也可得到TQ
D.用
标记电解液中的水,可得到



通过网盘分享的文件:【免费下载】高考真题【山西】2025年高考化学真题文档版适用地区:陕西、山西、宁夏、青海word版含解析学生版教师版
链接: https://pan.baidu.com/s/1AME-Egfgj8itrbBmIsTcHQ?pwd=4321 提取码: 4321
--来自百度网盘超级会员v8的分享