
年1月浙江省选考化学试题
可能用到的相对原子质量
:H-1C-12N-14O-16Na-23Mg-24Al-27Si-28S-32Cl-35.5K-39Ca-40Mn-55Fe-56Cu-64Zn-65Ba-137
一、选择题(本大题共25小题,每小题2分,共50分。每小题列出的四个备选项中只有一个是符合题目要求的,不选、多选、错选均不得分)
1. 水溶液呈酸性的盐是
A. NH4ClB. BaCl2C. H2SO4D. Ca(OH)2
2. 下列物质属于非电解质的是
A. CH4B. KIC. NaOHD. CH3COOH
3. 名称为“干燥管”的仪器是
A. B. C. D.
4. 下列物质对应的化学式不正确的是
A. 氯仿:CHCl3B. 黄铜矿的主要成分:Cu2S
C. 芒硝:Na2SO4·10H2OD. 铝土矿的主要成分:Al2O3
5. 下列表示不正确的是
A. 乙炔的结构简式HC≡CHB. KOH的电子式
C. 乙烷的球棍模型:
氯离子的结构示意图:
6. 下列说法不正确的是
A. 液化石油气是纯净物B. 工业酒精中往往含有甲醇
C. 福尔马林是甲醛的水溶液D. 许多水果和花卉有芳香气味是因为含有酯
7. 下列说法不正确的是
A. 32S和34S互为同位素B. C70和纳米碳管互为同素异形体
C. CH2ClCH2Cl和CH3CHCl2互为同分异构体D. C3H6和C4H8一定互为同系物
8. 下列说法不正确的是
A. 镁合金密度较小、强度较大,可用于制造飞机部件
B. 还原铁粉可用作食品干燥剂
C. 氯气、臭氧、二氧化氯都可用于饮用水的消毒
D. 油脂是热值最高的营养物质
9. 下列说法正确的是
A. 铁与碘反应易生成碘化铁
B. 电解ZnSO4溶液可以得到Zn
C. 用石灰沉淀富镁海水中的Mg2+,生成碳酸镁
D. SO2通入BaCl2溶液中生成BaSO3沉淀
10. 关于反应4CO2+SiH4
4CO+2H2O+SiO2,下列说法正确的是
A. CO是氧化产物B. SiH4发生还原反应
C. 氧化剂与还原剂的物质的量之比为1∶4D. 生成1molSiO2时,转移8mol电子
11. 下列说法不正确的是
A. 灼烧法做“海带中碘元素的分离及检验”实验时,须将海带进行灰化
B. 用纸层析法分离铁离子和铜离子时,不能将滤纸条上的试样点浸入展开剂中
C. 将盛有苯酚与水形成的浊液的试管浸泡在80℃热水中一段时间,浊液变澄清
D. 不能将实验室用剩的金属钠块放回原试剂瓶
12. 设NA为阿伏加德罗常数的值,下列说法正确的是
A. 在25℃时,1LpH为12的Ba(OH)2溶液中含有OH-数目为0.01NA
B. 1.8g重水(D2O)中所含质子数为NA
C. 足量的浓盐酸与8.7gMnO2反应,转移电子的数目为0.4NA
D. 32g甲醇的分子中含有C—H键的数目为4NA
13. 下列实验对应的离子方程式不正确的是
A. 将碳酸氢钙溶液与过量的澄清石灰水混合:
+Ca2++OH-=CaCO3↓+H2O
B. 将少量NO2通入NaOH溶液:2NO2+2OH-=
+
+H2O
C. 将少量SO2通入NaClO溶液:SO2+H2O+2ClO-=
+2HClO
D. 向氨水中滴入少量硝酸银溶液:Ag++2NH3·H2O=
+2H2O
14. 下列说法正确的是
A. 苯酚、乙醇、硫酸铜、氢氧化钠和硫酸铵均能使蛋白质变性
B. 通过石油的常压分馏可获得石蜡等馏分,常压分馏过程为物理变化
C. 在分子筛固体酸催化下,苯与乙烯发生取代反应获得苯乙烷
D. 含氮量高的硝化纤维可作烈性炸药
15. 关于化合物,下列说法正确的是
A. 分子中至少有7个碳原子共直线B. 分子中含有1个手性碳原子
C
与酸或碱溶液反应都可生成盐D. 不能使酸性KMnO4稀溶液褪色
16. W、X、Y、Z为原子序数依次增大的短周期主族元素。W和Y同族,Y的原子序数是W的2倍,X是地壳中含量最多的金属元素。下列说法正确的是
A. 非金属性:Y>WB. XZ3是离子化合物
C. Y、Z的氧化物对应的水化物均为强酸D. X与Y可形成化合物X2Y3
17. 已知25℃时二元酸H2A的Ka1=1.3×10-7,Ka2=7.1×10-15。下列说法正确的是
A. 在等浓度的Na2A、NaHA溶液中,水的电离程度前者小于后者
B. 向0.1mol·L-1的H2A溶液中通入HCl气体(忽略溶液体积的变化)至pH=3,则H2A的电离度为0.013%
C. 向H2A溶液中加入NaOH溶液至pH=11,则c(A2-)>c(HA-)
D. 取pH=a的H2A溶液10mL,加蒸馏水稀释至100mL,则该溶液pH=a+1
18. 相关有机物分别与氢气发生加成反应生成1mol环己烷()的能量变化如图所示:

下列推理不正确的是
A. 2ΔH1≈ΔH2,说明碳碳双键加氢放出的热量与分子内碳碳双键数目成正比
B. ΔH2<ΔH3,说明单双键交替的两个碳碳双键间存在相互作用,有利于物质稳定
C. 3ΔH1<ΔH4,说明苯分子中不存在三个完全独立的碳碳双键
D. ΔH3-ΔH1<0,ΔH4-ΔH3>0,说明苯分子具有特殊稳定性
19. 在恒温恒容条件下,发生反应A(s)+2B(g)
3X(g),c(B)随时间的变化如图中曲线甲所示。下列说法不正确的是

A. 从a、c两点坐标可求得从a到c时间间隔内该化学反应的平均速率
B. 从b点切线的斜率可求得该化学反应在反应开始时的瞬时速率
C. 在不同时刻都存在关系:2v(B)=3v(X)
D. 维持温度、容积、反应物起始的量不变,向反应体系中加入催化剂,c(B)随时间变化关系如图中曲线乙所示
20. AB型强电解质在水中的溶解(可视作特殊的化学反应)表示为AB(s)=An+(aq)+Bn-(aq),其焓变和熵变分别为ΔH和ΔS。对于不同组成的AB型强电解质,下列说法正确的是
A. ΔH和ΔS均大于零
B. ΔH和ΔS均小于零
C. ΔH可能大于零或小于零,ΔS大于零
D. ΔH和ΔS均可能大于零或小于零
21. pH计是一种采用原电池原理测量溶液pH的仪器。如图所示,以玻璃电极(在特制玻璃薄膜球内放置已知浓度的HCl溶液,并插入Ag—AgCl电极)和另一Ag—AgCl电极插入待测溶液中组成电池,pH与电池的电动势E存在关系:pH=(E-常数)/0.059。下列说法正确的是

A. 如果玻璃薄膜球内电极的电势低,则该电极反应式为:AgCl(s)+e-=Ag(s)+Cl(0.1mol·L-1)
B. 玻璃膜内外氢离子浓度的差异不会引起电动势的变化
C. 分别测定含已知pH的标准溶液和未知溶液的电池的电动势,可得出未知溶液的pH
D. pH计工作时,电能转化为化学能
22. 下列推测不合理的是
A. 相同条件下,Br2与PBr3反应比Cl2与PCl3反应难
B. OPBrCl2与足量H2O作用生成2种酸
C. 相同条件下,与水反应由快到慢的顺序:OPBr3、OPCl3、OPF3
D. PBr3与足量C2H5OH作用可得到P(OC2H5)3
23. 某同学在两个相同的特制容器中分别加入20mL0.4mol·L-1Na2CO3溶液和40mL0.2mol·L-1NaHCO3溶液,再分别用0.4mol·L-1盐酸滴定,利用pH计和压力传感器检测,得到如图曲线:

下列说法正确的的是
A. 图中甲、丁线表示向NaHCO3溶液中滴加盐酸,乙、丙线表示向Na2CO3溶液中滴加盐酸
B. 当滴加盐酸的体积为V1mL时(a点、b点),所发生的反应用离子方程式表示为:HCO
+H+=CO2↑+H2O
C. 根据pH—V(HCl)图,滴定分析时,c点可用酚酞、d点可用甲基橙作指示剂指示滴定终点
D. Na2CO3和NaHCO3溶液中均满足:c(H2CO3)-c(CO
)=c(OH-)-c(H+)
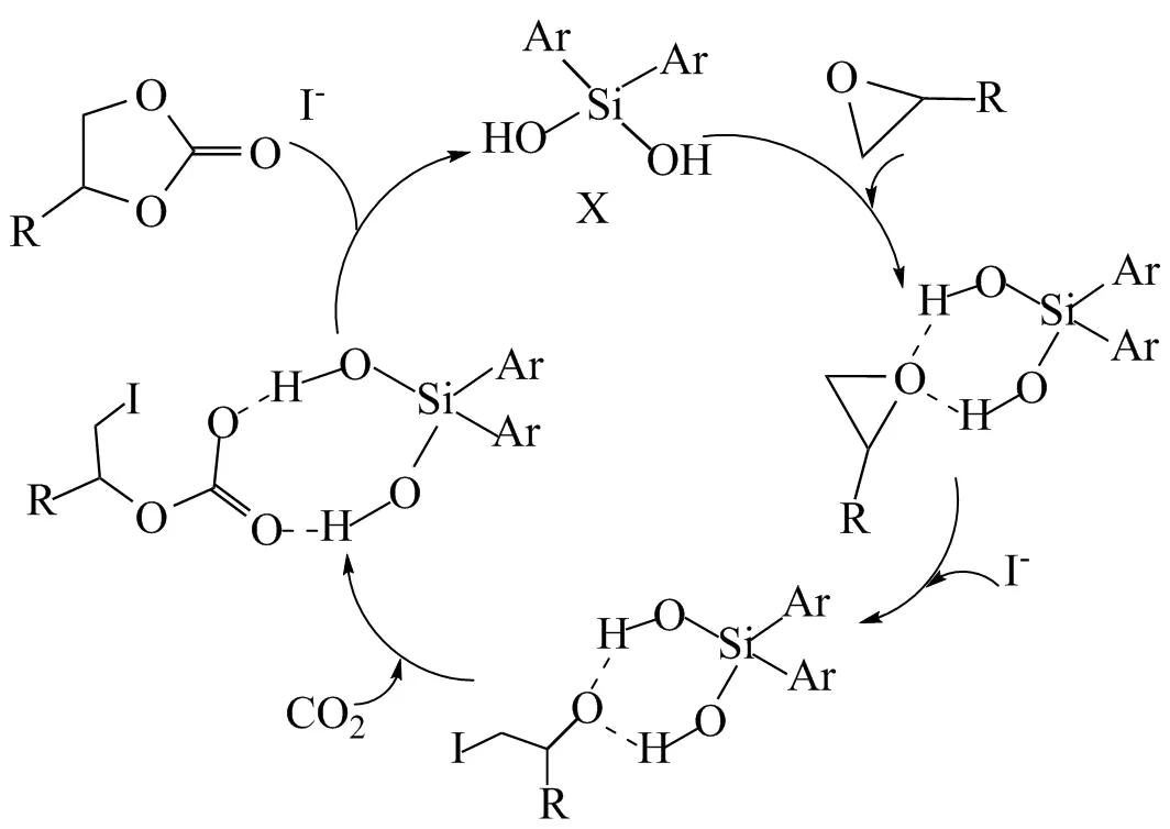
24. 某课题组设计一种固定CO2的方法。下列说法不正确的是

A. 反应原料中的原子100%转化为产物
B. 该过程在化合物X和I-催化下完成
C. 该过程仅涉及加成反应
D. 若原料用
,则产物为
25. 下列方案设计、现象和结论有不正确的是
| 目的 | 方案设计 | 现象和结论 |
A | 检验硫酸厂周边空气中是否含有二氧化硫 | 用注射器多次抽取空气,慢慢注入盛有酸性KMnO4稀溶液的同一试管中,观察溶液颜色变化 | 溶液不变色,说明空气中不含二氧化硫 |
B | 鉴定某涂改液中是否存在含氯化合物 | 取涂改液与KOH溶液混合加热充分反应,取上层清液,硝酸酸化,加入硝酸银溶液,观察现象 | 出现白色沉淀,说明涂改液中存在含氯化合物 |
C | 检验牙膏中是否含有甘油 | 将适量牙膏样品与蒸馏水混合,搅拌,静置一段时间,取上层清液,加入新制的Cu(OH)2,振荡,观察现象 | 溶液出现绛蓝色,说明牙膏中含有甘油 |
D | 鉴别食盐与亚硝酸钠 | 各取少量固体加水溶解,分别滴加含淀粉的KI溶液,振荡,观察溶液颜色变化 | 溶液变蓝色的为亚硝酸钠;溶液不变蓝的为食盐 |
A. AB. BC. CD. D
二、非选择题(本大题共6小题,共50分)
26. 回答下列问题:
(1)两种有机物的相关数据如表:
物质 | HCON(CH3)2 | HCONH2 |
相对分子质量 | 73 | 45 |
沸点/℃ | 153 | 220 |
HCON(CH3)2的相对分子质量比HCONH2的大,但其沸点反而比HCONH2的低,主要原因是______。
(2)四种晶体的熔点数据如表:
物质 | CF4 | SiF4 | BF3 | AlF3 |
熔点/℃ | -183 | -90 | -127 | >1000 |
CF4和SiF4熔点相差较小,BF3和AlF3熔点相差较大,原因是______。
27. 某同学设计实验确定Al(NO3)3·xH2O的结晶水数目。称取样品7.50g,经热分解测得气体产物中有NO2、O2、HNO3、H2O,其中H2O的质量为3.06g;残留的固体产物是Al2O3,质量为1.02g。计算:
(1)x=_______(写出计算过程)。
(2)气体产物中n(O2)_______mol。
28. 化合物X由4种元素组成。某兴趣小组按如图流程进行实验:

请回答:
(1)组成X
X的化学式为______。
(2)溶液C中溶质的成分是______(用化学式表示);根据C→D→E的现象,给出相应微粒与阳离子结合由弱到强的排序______。
(3)X与足量Na反应生成固体F的化学方程式是______。
(4)设计实验确定溶液G中阴离子______。
29. 工业上,以煤炭为原料,通入一定比例的空气和水蒸气,经过系列反应可以得到满足不同需求的原料气。请回答:
(1)在C和O2的反应体系中:
反应1:C(s)+O2(g)=CO2(g) ΔH1=-394kJ·mol-1
反应2:2CO(g)+O2(g)=2CO2(g) ΔH2=-566kJ·mol-1
反应3:2C(s)+O2(g)=2CO(g) ΔH3。
①设y=ΔH-TΔS,反应1、2和3的y随温度的变化关系如图1所示。图中对应于反应3的线条是______。

②一定压强下,随着温度的升高,气体中CO与CO2的物质的量之比______。
A.不变B.增大C.减小D.无法判断
(2)水煤气反应:C(s)+H2O(g)=CO(g)+H2(g) ΔH=131kJ·mol-1。工业生产水煤气时,通常交替通入合适量的空气和水蒸气与煤炭反应,其理由是________。
(3)一氧化碳变换反应:CO(g)+H2O(g)=CO2(g)+H2(g) ΔH=-41kJ·mol-1。
①一定温度下,反应后测得各组分的平衡压强(即组分的物质的量分数×总压):p(CO)=0.25MPa、p(H2O)=0.25MPa、p(CO2)=0.75MPa和p(H2)=0.75MPa,则反应的平衡常数K的数值为________。
②维持与题①相同的温度和总压,提高水蒸气的比例,使CO的平衡转化率提高到90%,则原料气中水蒸气和CO的物质的量之比为________。
③生产过程中,为了提高变换反应的速率,下列措施中合适的是________。
A.反应温度愈高愈好B.适当提高反应物压强
C.选择合适的催化剂D.通入一定量的氮气
④以固体催化剂M催化变换反应,若水蒸气分子首先被催化剂的活性表面吸附而解离,能量-反应过程如图2所示。

用两个化学方程式表示该催化反应历程(反应机理):步骤Ⅰ:________;步骤Ⅱ:________。
30. 某兴趣小组用四水醋酸锰[(CH3COO)2Mn·4H2O]和乙酰氯(CH3COCl)为原料制备无水二氯化锰,按如图流程开展了实验(夹持仪器已省略):


已知:①无水二氯化锰极易吸水潮解,易溶于水、乙醇和醋酸,不溶于苯。
②制备无水二氯化锰的主要反应:(CH3COO)2Mn+CH3COCl
MnCl2↓+2(CH3COO)2O。
③乙酰氯遇水发生反应:CH3COCl+H2O→CH3COOH+HCl。
请回答:
(1)步骤Ⅰ:所获固体主要成分是_________(用化学式表示)。
(2)步骤Ⅰ在室温下反应,步骤Ⅱ在加热回流下反应,目的分别是________。
(3)步骤Ⅲ:下列操作中正确的是_________。
A. 用蒸馏水润湿滤纸,微开水龙头,抽气使滤纸紧贴在漏斗瓷板上
B. 用倾析法转移溶液,开大水龙头,待溶液快流尽时再转移沉淀
C. 用乙醇作为洗涤剂,在洗涤沉淀时,应开大水龙头,使洗涤剂快速通过沉淀物
D
洗涤结束后,将固体迅速转移至圆底烧瓶进行后续操作
(4)步骤Ⅳ:①奖装有粗产品的圆底烧瓶接到纯化装置(图2)上,打开安全瓶上旋塞,打开抽气泵,关闭安全瓶上旋塞,开启加热器,进行纯化。请给出纯化完成后的操作排序:________。
纯化完成→(_____)→(_____)→(_____)→(_____)→将产品转至干燥器中保存
a.拔出圆底烧瓶瓶塞
b.关闭抽气泵
c.关闭加热器,待烧瓶冷却至室温
d.打开安全瓶上旋塞
②图2装置中U形管内NaOH固体的作用是________。
(5)用滴定分析法确定产品纯度。甲同学通过测定产品中锰元素的含量确定纯度;乙同学通过测定产品中氯元素的含量确定纯度。合理的是_________(填“甲”或“乙”)同学的方法。
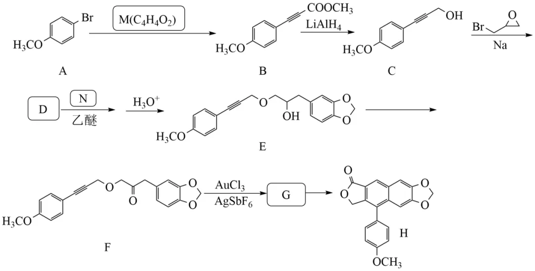
31. 化合物H是一种具有多种生物活性的天然化合物。某课题组设计的合成路线如图(部分反应条件已省略):

已知:R1Br
R1MgBr



+


(1)下列说法不正确的是_______。
A. 化合物A不易与NaOH溶液反应B. 化合物E和F可通过红外光谱区别
C. 化合物F属于酯类物质D. 化合物H
C20H12O5
(2)化合物M的结构简式是_______;化合物N的结构简式是_______;化合物G的结构简式是_______。
(3)补充完整C→D的化学方程式:2
+2
+2Na→_______。
(4)写出2种同时符合下列条件的化合物B的同分异构体的结构简式(不包括立体异构体)_______。
①有两个六元环(不含其他环结构),其中一个为苯环;
②除苯环外,结构中只含2种不同的氢;
③不含—O—O—键及—OH
(5)以化合物苯乙炔(
)、溴苯和环氧乙烷(
)为原料,设计如图所示化合物的合成路线(用流程图表示,无机试剂、有机溶剂任选)_______。




通过网盘分享的文件:【免费下载】2022年高考化学试卷(浙江)(1月)(空白卷)省市高考真题电子版word含解析答案学生教师版
链接: https://pan.baidu.com/s/14pF83I8z3w7WgCC9qHl6pg?pwd=4321 提取码: 4321
--来自百度网盘超级会员v8的分享