

6.2 排列与组合
6.2.1 排列
新课程标准解读 | 核心素养 |
1.通过实例,理解排列的概念 | 数学抽象 |
2.能应用排列知识解决简单的实际问题 | 数学建模 |


两个同学从写有数字1,2,3,4,5,6的卡片中选取卡片进行组数字游戏.

【问题】(1)从这6个数字中一次选出2个能构成多少个两位数?选出3个呢?……
(2)你能从中得到什么规律?

知识点排列的有关概念
1.定义:一般地,从n个不同元素中取出m(m≤n)个元素,并按照 一定的顺序 排成一列,叫做从n个不同元素中取出m个元素的一个排列.
2.两个排列相同的充要条件
(1)两个排列的元素 完全相同 ;
(2)元素的排列 顺序 也相同.
提醒排列定义中两层含义:一是“取出元素”,二是“按照一定的顺序排成一列”.

1.判断正误.(正确的画“√”,错误的画“×”)
(1)1,2,3与3,2,1为同一排列.(×)
(2)在一个排列中,同一个元素不能重复出现.(√)
(3)从1,2,3,4中任选两个数字,就组成一个排列.(×)
(4)从5名同学中任选2名同学分别参加数学和物理竞赛的所有不同的选法是一个排列问题.(√)
2.从甲、乙、丙三人中选两人站成一排的所有站法为()
A.甲乙、乙甲、甲丙、丙甲
B.甲乙丙、乙丙甲
C.甲乙、甲丙、乙甲、乙丙、丙甲、丙乙
D.甲乙、甲丙、乙丙
解析:C 从三人中选出两人,而且要考虑这两人的顺序,所以有如下6种站法:甲乙、甲丙、乙甲、乙丙、丙甲、丙乙.
3.从1,2,3,4,5这五个数字中任取两个数字组成两位数,组成不同的两位数共有()
A.10个 B.12个
C.18个 D.20个
解析:D 从1,2,3,4,5这五个数字中任取两个数字可组成的两位数为12,13,14,15,23,24,25,34,35,45,21,31,41,51,32,42,52,43,53,54,共20个.

【例1】 判断下列问题是否是排列问题,并说明理由:
(1)从1,2,3,4四个数字中,任选两个做加法,其结果有多少种不同的可能?
(2)从1到10这十个自然数中任取两个不同的数组成直角坐标平面内的点的坐标,可得到多少个不同的点的坐标?
(3)从十名同学中任选两名同学去学校开座谈会,有多少种不同的选取方法?
(4)某商场有四个大门,若从一个大门进去,购买物品后,再从另一个大门出来,不同的出入方式有多少种?
解:(1)不是.因为加法运算满足交换律,所以选出的两个元素做加法时,与两个元素的位置无关,所以不是排列问题.
(2)是.因为取出的两个数组成的点的坐标与哪一个数是横坐标,哪一个数是纵坐标有关,即与顺序有关,所以是排列问题.
(3)不是.因为从十名同学中选取两名同学去学校开座谈会不需要考虑两个人的顺序,所以不是排列问题.
(4)是.因为从一个大门进,从另一个大门出是有顺序的,所以是排列问题.
通性通法
判断一个具体问题是否为排列问题的方法

【跟踪训练】
从4个数字3,5,7,9中每次取出两个:①相减;②相乘;③相除;④一个为被开方数,一个为根指数,其中为排列问题的是(填序号).
答案:①③④
解析:从4个不同的数字中,每次取出两个相乘的时候,两个数字交换顺序不影响运算结果,即与元素的顺序无关,所以②不是排列问题;相减,相除,一个为被开方数、一个为根指数,进行上述三种操作,两个数字一旦交换顺序,产生的结果就会不同,即与顺序有关.所以①③④属于排列问题.
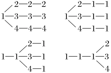
【例2】(1)从1,2,3,4四个数字中任取两个数字组成没有重复数字的两位数,一共可以组成多少个?
(2)写出从4个元素a,b,c,d中任取3个元素的所有排列,一共可以组成多少个排列?
解:(1)由题意作出树状图如下:

故组成的所有没有重复数字的两位数为12,13,14,21,23,24,31,32,34,41,42,43,一共可以组成12个.
(2)由题意作出树状图如下:

故所有的排列为abc,abd,acb,acd,adb,adc,bac,bad,bca,bcd,bda,bdc,cab,cad,cba,cbd,cda,cdb,dab,dac,dba,dbc,dca,dcb.一共可以组成24个排列.
通性通法
利用“树状图”法解决简单排列问题的适用范围及策略
(1)适用范围:“树状图”在解决排列元素个数不多的问题时,是一种比较有效的表示方式;
(2)策略:在操作中先将元素按一定顺序排出,然后以先安排哪个元素为分类标准进行分类,再安排第二个元素,并按此元素分类,依次进行,直到完成一个排列,这样能做到不重不漏,然后再按树状图写出排列.
【跟踪训练】
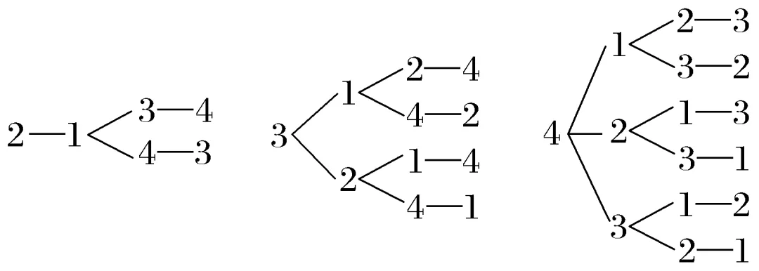
写出A,B,C,D四名同学站成一排照相,A不站在两端的所有可能站法.
解:由题意作“树状图”,如下:

故所有可能的站法是BACD,BADC,BCAD,BDAC,CABD,CADB,CBAD,CDAB,DABC,DACB,DBAC,DCAB.
【例3】 用具体数字表示下列问题:
(1)由0,1,2,3组成的能被5整除且没有重复数字的四位数的个数;
(2)有4名大学生可以到5家单位实习,若每家单位至多招1名实习生,每名大学生至多到1家单位实习,且这4名大学生全部被分配完毕,求其分配方案的个数.
解:(1)因为组成的没有重复数字的四位数能被5整除,
所以这个四位数的个位数字一定是“0”,
故要确定此四位数,只需确定千位数字、百位数字、十位数字即可,
共有3×2×1=6(个).
(2)此题可以理解为从5家单位中选出4家单位,
分别把4名大学生安排到4家单位,
共有5×4×3×2=120(个)分配方案.
通性通法
解决简单的排列实际应用问题的策略
(1)首先明确要研究的元素是什么,有无顺序;
(2)在处理该问题时是需要分类完成还是分步完成.
【跟踪训练】
1.沪宁高铁线上有六个大站:上海、苏州、无锡、常州、镇江、南京,铁路部门应为沪宁线上的六个大站(这六个大站之间)准备不同的火车票的种数为()
A.15 B.30
C.12 D.36
解析:B 对于两个大站A和B,从A到B的火车票与从B到A的火车票不同,因为每张车票对应一个起点站和一个终点站,因此,每张火车票对应从6个不同元素(大站)中取出2个不同元素(起点站和终点站)的一种排列,故不同的火车票有6×5=30(种).
2.已知某工艺品的加工需要先由普通技师完成粗加工,再由高级技师完成精加工,其中粗加工要完成A,B,C,D四道工序且不分顺序,精加工要完成E,F,G三道工序且E为F的前一道工序,则完成该工艺品加工不同的方法有()
A.144种 B.96种
C.48种 D.112种
解析:C 由题意可知,粗加工工序的排法种数为4×3×2×1=24.将E,F进行捆绑,且E为F的前一道工序,精加工工序的排法种数为2.由分步乘法计数原理可知,完成该工艺品加工不同的方法有24×2=48(种).故选C.

1.(多选)下列问题中,是排列问题的有()
A.从甲、乙、丙3名同学中选出2名分别参加数学和物理学习小组
B.从甲、乙、丙3名同学中选出2名参加一项活动
C.从a,b,c,d这4个字母中取出2个
D.从1,2,3,4这4个数字中取出2个组成一个两位数
解析:AD A是排列问题,因为2名同学参加的学习小组与顺序有关;B不是排列问题,因为2名同学参加这项活动与顺序无关;C不是排列问题,因为取出的2个字母与顺序无关;D是排列问题,因为取出的2个数字还需要按顺序排成一个两位数.
2.李老师要给4个同学轮流进行心理辅导,每个同学1次,则轮流次序共有()
A.6种 B.12种
C.24种 D.48种
解析:C 从4个同学中任选1个同学有4种,再从剩下的3个同学中任选1个同学有3种,再从剩下的2个同学中任选1个同学有2种,最后剩下1个同学.按分步乘法计数原理,不同的选法有4×3×2×1=24(种).
3.甲、乙、丙三人排成一排去照相,甲不站在排头的所有排列种数为 4 .
解析:列“树状图”如下,故共有乙甲丙,乙丙甲,丙甲乙,丙乙甲4种排列方法.



1.下列问题是排列问题的是()
A.10个朋友聚会,每两人握手一次,一共握手多少次
B.平面上有2 024个不同的点,且任意三点不共线,连接任意两点可以构成多少条线段
C.集合{a1,a2,a3,…,an}的含有三个元素的子集有多少个
D.从高三(19)班的54名学生中选出2名学生分别参加校庆晚会的独唱、独舞节目,有多少种选法
解析:D A中握手次数的计算与次序无关,B中线段的条数计算与点的次序无关,C中子集的个数与该集合中元素的次序无关,故这三个问题都不是排列问题.D中,选出的2名学生,如甲、乙,其中“甲参加独唱、乙参加独舞”与“乙参加独唱、甲参加独舞”是2种不同的选法,因此是排列问题.故选D.
2.3个学生在4本不同的参考书中各挑选1本,不同的选法种数为()
A.3 B.24
C.34D.43
解析:B 3个学生在4本不同的参考书中各挑选1本,相当于从4个不同元素中选3个的排列,其选法种数为4×3×2=24.
3.甲、乙、丙三人踢毽子,互相传递,每人每次只能踢一下.由甲开始踢,经过4次传递后,毽子又被踢回甲,则不同的传递方式共有()
A.4种 B.5种
C.6种 D.12种
解析:C 若甲先传给乙,则有甲→乙→甲→乙→甲,甲→乙→甲→丙→甲,甲→乙→丙→乙→甲3种不同的传递方式;同理,甲先传给丙也有3种不同的的传递方式,故共有6种不同的传递方式.故选C.
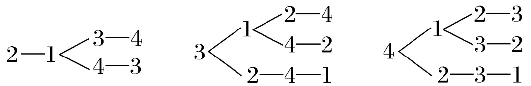
4.由1,2,3,4这四个数字组成的首位数字是1,且恰有三个相同数字的四位数有()
A.9个 B.12个 C.15个 D.18个
解析:B 本题要求首位数字是1,且恰有三个相同的数字,用树状图表示为:

由此可知共有12个.
5.世界华商大会的某分会场有A,B,C三个展台,将甲,乙,丙,丁4名“双语”志愿者分配到这三个展台,每个展台至少1人,其中甲、乙两人被分配到同一展台的不同分法的种数为()
A.12 B.10 C.8 D.6
解析:D 因为甲、乙两人被分配到同一展台,所以甲与乙捆在一起,看成一个人,然后将3个人分到3个展台进行排列,即有3×2×1=6(种),所以甲、乙两人被分配到同一展台的不同分法的种数为6.
6.(多选)已知甲、乙等5人站一横排,则下列说法正确的是()
A.甲、乙站两端有14种站法
B.甲、乙站两端有12种站法
C.甲、乙不站两端有108种站法
D.甲、乙不站两端有36种站法
解析:BD 甲、乙两人站两端有2×3×2×1=12(种).甲、乙两人不站两端分两步进行:第1步,甲、乙站中间3个位置中的2个位置有3×2=6(种)站法;第2步,其余3个人任意排列有3×2×1=6(种),所以共有6×6=36(种)站法,D正确.故选B、D.
7.2024北京车展期间,某调研机构准备从6人中选2人去调查E3馆、E4馆的参观人数,则不同的安排方法种数为 30 .
解析:由题意可知,问题为从6个元素中选2个元素的排列问题,所以安排方法有6×5=30(种).
8.从1,3,5,7,9这五个数中,每次取出两个,分别记为a,b,共可得到lg a-lg b的不同的值的个数是 18 .
解析:lga-lgb=lg
1,3,5,7,9中任取两个数分别记为a,b,共有5×4=20(种),其中lg
=lg
=lg
18种结果.
9.某高三毕业班有40人,同学之间彼此给对方仅写一条毕业留言,那么全班共写了 1 560 条毕业留言(用数字作答).
解析:根据题意,得40×39=1560,故全班共写了1560条毕业留言.

10.若一个三位数的十位数字比个位数字和百位数字都大,则称这个数为“伞数”.现从1,2,3,4,5这5个数字中任取3个数,组成无重复数字的三位数,其中“伞数”有()
A.80个 B.40个
C.20个 D.10个
解析:C 十位数只能是3,4,5.当十位数为3时只有:132,231,共2个;当十位数是4时有:142,143,241,243,341,342,共6个;当十位数是5时有:152,153,154,251,253,254,351,352,354,451,452,453,共12个,故共有2+6+12=20(个).
11.将字母a,a,b,b,c,c排成三行两列,要求每行的字母互不相同,每列的字母也互不相同,则不同的排列方法共有()
A.12种 B.18种
C.24种 D.36种
解析:A 先排第一列,因为每列的字母互不相同,因此共有3×2×1=6(种)不同的排法;再排第二列,其中第二列第一行的字母共有2种不同的排法,第二列第二、三行的字母只有1种排法,因此共有2×1×1=2(种)不同的排法.综上共有6×2=12(种)不同的排法.故选A.
12.从集合{0,1,2,5,7,9,11}中任取3个不同的元素分别作为直线方程Ax+By+C=0中的系数A,B,C,所得直线经过坐标原点的有 30 条.
解析:若直线经过坐标原点,则C=0,再从集合中任取2个非零元素作为系数A,B,所以符合条件的直线条数为6×5=30.
13.在1,2,3,4的排列a1a2a3a4中,满足a1>a2,a3>a2,a3>a4的排列个数是 5 .
解析:首先注意a1位置的数比a2位置的数大,可以借助树状图进行筛选.满足a1>a2的树状图是

其中满足a3>a2的树状图是

再满足a3>a4的排列有2143,3142,3241,4132,4231,共5个.
14.从0,1,2,3这四个数字中,每次取出三个不同的数字排成一个三位数.
(1)能组成多少个不同的三位数,并写出这些三位数;
(2)若组成的这些三位数中,1不能在百位,2不能在十位,3不能在个位,则这样的三位数共有多少个,并写出这些三位数.
解:(1)组成三位数分三个步骤:
第一步,选百位上的数字,0不能排在首位,故有3种不同的排法;
第二步,选十位上的数字,有3种不同的排法;
第三步,选个位上的数字,有2种不同的排法.
由分步乘法计数原理得,共有3×3×2=18(个)不同的三位数.
画出下列树状图:

由树状图知,所有的三位数为102,103,120,123,130,132,201,203,210,213,230,231,301,302,310,312,320,321.
(2)直接画出树状图:

由树状图知,符合条件的三位数有8个:
201,210,230,231,301,302,310,312.

通过网盘分享的文件:25-26学年同步培优讲义
链接: https://pan.baidu.com/s/1y0bSGZE1YoJg8gMTXiqQoA?pwd=4321 提取码: 4321
--来自百度网盘超级会员v8的分享